物理人、世界を語る

ニュース、日々の出来事、物理学の解説、物理に関する紹介、考えたことについてつぶやきます。

2019-03-06から1日間の記事一覧

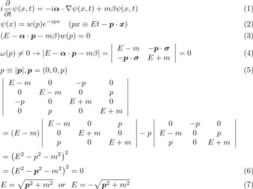
ディラック方程式は負エネルギー解の問題を解決しない

クライン・ゴルドン方程式では、確率保存則の式が上手く作れないという問題と、負エネルギー解の問題がある。 以前の記事で書いたように、ディラックの方程式は、確率保存則の問題を解決する。 feynmandiagram.hatenablog.com しかし、ディラックの方程式は…

スピンが量子力学に出てくる理由

一般化された角運動量は、軌道角運動量と、スピンに分けられます。 一般化された角運動量の演算子とは、 を満たすような演算子Jのことを言います。 この交換関係を満たすような演算子Jの特徴は、波動関数に対し回転変換を施すことが出来るというものです。 …