解析力学 位置と速度が独立変数のように扱われる理由
こんにちは、マーキュリー@mercury335です。
解析力学において、位置と速度が独立変数のように扱われることについて、疑問を持つ方は多いと思います。
私も最初は相当悩みました。位置の関数が
として与えられれば、速度もそれに応じて求まるのではないかと。
私が悩んだ分、みんな悩みすぎないようにこの記事を書きます。
位置の関数と速度の関数はもちろん独立ではない。
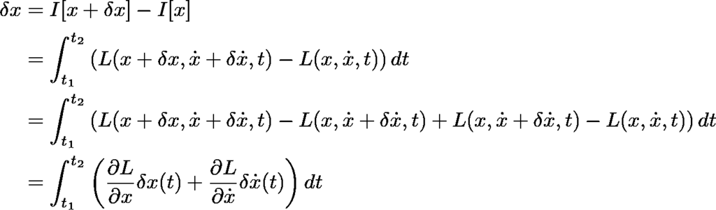
位置と速度が独立のようにみたされる、代表的な例は、
その過程の途中までを記すと、

こんな感じです。
上の式変形において、位置と速度を独立とはしていません。
位置の変化に応じて、速度が変化しています。
しかし、最後の偏微分の式は、あたかも位置と速度が独立変数であるかのような形をしているので、多くの人が位置と速度は独立なのか?と勘違いしてしまうのです。
今回の記事はこれで終わりです。お読みいただきありがとうございました。
他の物理の記事はこちら。